- A-
- A+
现将《贵州省普通高中学业水平选择性考试科目等级赋分办法》公布如下:
根据《教育部关于普通高中学业水平考试的实施意见》(教基二〔2014〕10号)《省人民政府关于印发<贵州省深化考试招生制度改革实施方案>的通知》(黔府发〔2016〕9号)《省人民政府关于印发贵州省高考综合改革实施方案的通知》(黔府发〔2021〕10号)精神,制定本办法。
一、等级赋分办法适用科目及实施范围
等级赋分办法适用于我省普通高中学业水平考试的思想政治、地理、化学和生物学4门选择性考试科目。学生根据普通高等学校招生专业选考科目要求,结合自身兴趣特长,在4门科目中选择2门作为选择性考试科目,即:在思想政治、地理、化学、生物学4门学科中选2门科目参加考试,每科满分100分,以等级转换分计入总分。
我省自2021年入学的普通高中一年级学生开始,在普通高中学业水平考试思想政治等4门选择性考试科目中实施等级赋分办法。
二、等级赋分办法
(一)划分等级,将卷面分转换为等级。把每门选择性考试科目的考生群体依据卷面分从高到低进行排序,依据考生群体成绩的统计分布,以一定的人数比例将该选考科目考生群体划分为若干个等级,每个考生按照其卷面分在该选考科目考生群体中的排序,对应到某个等级,从而将所有考生的卷面分转换成等级。
(二)进行等级赋分,将等级转换为等级分。设定等级分起点分、满分的分值,对各个等级进行连续赋分,在每个等级内按1分1档赋予每个等级一定的等级分数区间。根据每个考生的卷面分数及所在等级的等级分赋分区间,运用等比例转换法则将其卷面分换算成等级分。同一科目等级相同的考生,如果卷面分较高,其对应的等级分也较高。
三、等级分的具体计算
(一)将每个选考科目的考生群体卷面分转换为等级。把每个选考科目考生群体的卷面分从最高分到最低分顺序排列,按照考生群体卷面分的统计分布所确定人数比例(见等级分换算对应表)将该选考科目考生群体划分为5个群体,每个群体考生赋予1个等级,整个考生群体的卷面分被转换为从高到低A、B、C、D、E共5个等级,每个考生的等级由其在该选考科目群体的排位确定。
(二)将等级转换为等级分。等级分的满分值为100分、起点分值为30分,从A至E每个等级按照1分1档的分数间隔对各个等级进行连续赋分,各个等级的等级分赋分区间从14到10分不等(见等级分换算对应表)。依此,把每个选考科目考生群体的等级成绩从高到低(从A到E)转换为100至30分的等级分数,每个等级分数都在一定的等级分区间内。根据每个考生的卷面分数及其所在等级的等级赋分区间,运用等比例转换法则将其卷面分换算成等级分。在A、B、C、D、E的每个等级内卷面分不同的考生,根据等比例转换法则可计算得出不同的等级分,从而确保卷面分较高的考生换算得到较高的等级分。
1.等级换算对应关系。各等级及其所占人数比例、等级分赋分区间对应关系如表所示。

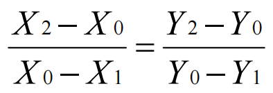
2.等级分换算公式。根据等比例转换法则计算每个考生等级分的公式为:

其中,X1、X2分别表示某个等级所对应卷面分区间的下限和上限;
Y1、Y2分别表示相应等级的等级分赋分区间的下限和上限;
X0表示相应等级内某考生的卷面分;
Y0表示相应等级内某考生的等级分。
根据公式,可以算出每个考生的等级分。
根据公式,考生的卷面分和等级分是线性相关的。在考生卷面分转换成等级和等级分的过程中,考生在相应选考科目考生群体中的成绩排序不会发生变化。
(三)成绩使用。选择性考试成绩当年高考录取有效,计入考生高考录取总成绩,作为高校招生录取的依据。