名单公示|中华人民共和国第一届青少年三大球运动会男子足球项目参赛球队人员名单公示
- A-
- A+
2024/07/31 12:05 来源:中国足协青少年足球微信公众号
各有关单位、个人:
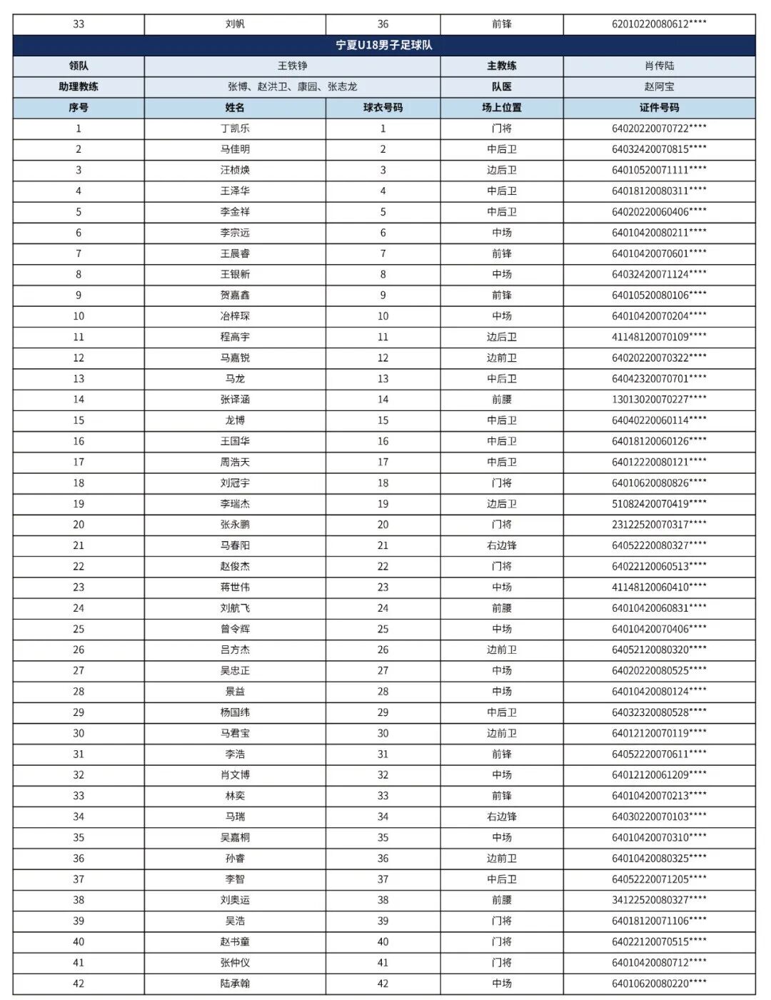
中华人民共和国第一届青少年三大球运动会男子足球项目资格赛比赛将于2024年8月3日至8月14日进行,现将参赛球队人员名单予以公示,接受社会监督。公示期间,如有异议,请实名向中国足球协会反映,逾期不再接受反映。
公示期:公布之日起至8月2日12:00受理单位:中国足球协会受理电话:010-59291128受理邮箱:huang.yj@thecfa.cn




















中国足球协会
2024年7月30日